Κορονοϊός: 1.888 κρούσματα, 17 θάνατοι, 241 διασωληνωμένοι
Η ενημέρωση του ΕΟΔΥ για την πανδημία και τα κρούσματα κορονοϊού στην Ελλάδα κατά το τελευταίο 24ωρο🕛 χρόνος ανάγνωσης: 3 λεπτά ┋

Ο ΕΟΔΥ ανακοίνωσε 1.888 νέα κρούσματα σήμερα, Κυριακή 15 Αυγούστου, ενημερώνοντας για την πανδημία του κορονοϊού στην Ελλάδα. Παράλληλα ανακοίνωσε πως καταγράφηκαν 241 διασωληνωμένοι στα νοσοκομεία ενώ κατά το τελευταίο 24ωρο καταγράφηκαν 17 θάνατοι. Αναλυτικά η ανακοίνωση του ΕΟΔΥ:
- Τα νέα εργαστηριακά επιβεβαιωμένα κρούσματα της νόσου που καταγράφηκαν τις τελευταίες 24 ώρες είναι 1.888 , εκ των οποίων 16 εντοπίστηκαν κατόπιν ελέγχων στις πύλες εισόδου της χώρας.
- Ο συνολικός αριθμός των κρουσμάτων ανέρχεται σε 537.125 (ημερήσια μεταβολή +0.4%), εκ των οποίων 51.2% άνδρες. Με βάση τα επιβεβαιωμένα κρούσματα των τελευταίων 7 ημερών, 134 θεωρούνται σχετιζόμενα με ταξίδι από το εξωτερικό και 2.082 είναι σχετιζόμενα με ήδη γνωστό κρούσμα.
- Οι νέοι θάνατοι ασθενών με COVID-19 είναι 17, ενώ από την έναρξη της επιδημίας έχουν καταγραφεί συνολικά 13.223 θάνατοι. Το 95.2% είχε υποκείμενο νόσημα ή/και ηλικία 70 ετών και άνω.
- Ο αριθμός των ασθενών που νοσηλεύονται διασωληνωμένοι είναι 241 (60.6% άνδρες). Η διάμεση ηλικία τους είναι 64 έτη. To 85.5% έχει υποκείμενο νόσημα ή/και ηλικία 70 ετών και άνω. Από την αρχή της πανδημίας έχουν εξέλθει από τις ΜΕΘ 2.877 ασθενείς.
- Οι εισαγωγές νέων ασθενών Covid-19 στα νοσοκομεία της επικράτειας είναι 211 (ημερήσια μεταβολή -25.96%). Ο μέσος όρος εισαγωγών του επταημέρου είναι 231 ασθενείς.
- Η διάμεση ηλικία των κρουσμάτων είναι 40 έτη (εύρος 0.2 έως 106 έτη), ενώ η διάμεση ηλικία των θανόντων είναι 78 έτη (εύρος 0.2 έως 106 έτη).
Η γεωγραφική κατανομή των κρουσμάτων
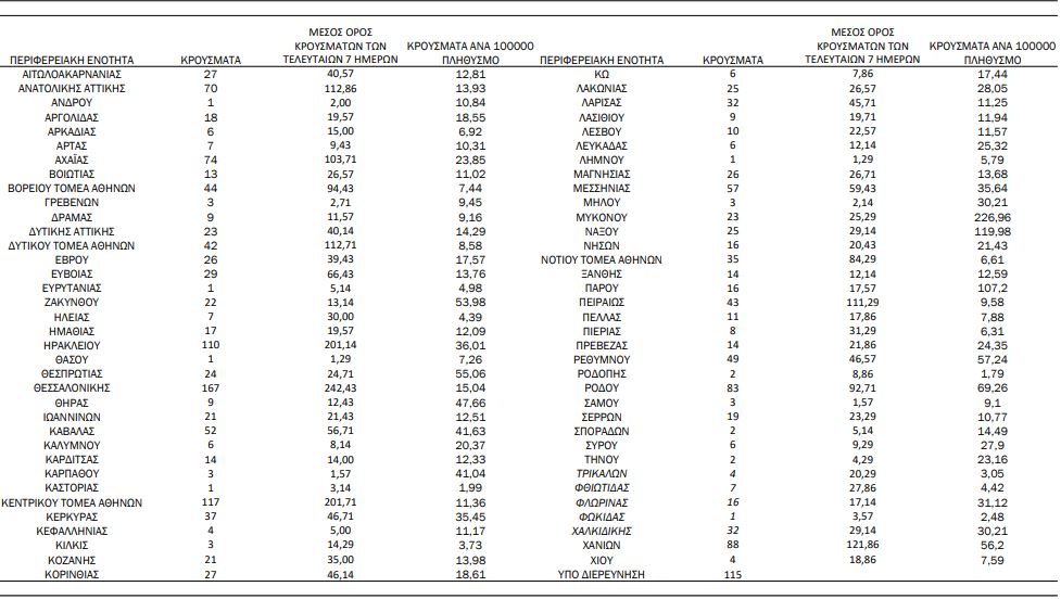
Στην Αττική καταγράφονται για ακόμα ένα 24ωρο τα περισσότερα νέα κρούσματα κορονοϊού στην Ελλάδα και την Κυριακή 15 Αυγούστου, σύμφωνα με την κατανομή των κρουσμάτων που ανακοίνωσε ο ΕΟΔΥ. Συγκεκριμένα από τα συνολικά 1.888 κρούσματα κορονοϊού, στην Αττική καταγράφονται 390 νέα κρούσματα και στη Θεσσαλονίκη καταγράφονται 167. Στην Κρήτη εντοπίζονται 256 κρούσματα το τελευταίο 24ωρο. Σημειώνεται ότι ένεκα της ημέρας, ο αριθμός των τεστ που διενεργήθηκαν είναι μικρότερος σε σχέση με τις καθημερινές.
Αναλυτικότερα, στην Αττική εντοπίστηκαν 390 κρούσματα κορονοϊού εκ των οποίων τα 70 είναι στην Ανατολική Αττική, τα 44 στον Βόρειο Τομέα Αθηνών, τα 42 στο Δυτικό Τομέα Αθηνών και 35 στο Νότιο Τομέα.
- ΑΙΤΩΛΟΑΚΑΡΝΑΝΙΑΣ 27
- ΑΝΑΤΟΛΙΚΗΣ ΑΤΤΙΚΗΣ 70
- ΑΡΓΟΛΙΔΑΣ 18
- ΑΡΚΑΔΙΑΣ 6
- ΑΡΤΑΣ 7
- ΑΧΑΪΑΣ 74
- ΒΟΙΩΤΙΑΣ 13
- ΒΟΡΕΙΟΥ ΤΟΜΕΑ ΑΘΗΝΩΝ 44
- ΓΡΕΒΕΝΩΝ 3
- ΔΡΑΜΑΣ 9
- ΔΥΤΙΚΗΣ ΑΤΤΙΚΗΣ 23
- ΔΥΤΙΚΟΥ ΤΟΜΕΑ ΑΘΗΝΩΝ 42
- ΕΒΡΟΥ 26
- ΕΥΒΟΙΑΣ 29
- ΕΥΡΥΤΑΝΙΑΣ 1
- ΖΑΚΥΝΘΟΥ 22
- ΗΛΕΙΑΣ 7
- ΗΜΑΘΙΑΣ 17
- ΗΡΑΚΛΕΙΟΥ 110
- ΘΕΣΠΡΩΤΙΑΣ 24
- ΘΕΣΣΑΛΟΝΙΚΗΣ 167
- ΘΗΡΑΣ 9
- ΙΩΑΝΝΙΝΩΝ 21
- ΚΑΒΑΛΑΣ 52
- ΚΑΛΥΜΝΟΥ 6
- ΚΑΡΔΙΤΣΑΣ 14
- ΚΑΣΤΟΡΙΑΣ 1
- ΚΕΝΤΡΙΚΟΥ ΤΟΜΕΑ ΑΘΗΝΩΝ 117
- ΚΕΡΚΥΡΑΣ 37
- ΚΕΦΑΛΛΗΝΙΑΣ 4
- ΚΙΛΚΙΣ 3
- ΚΟΖΑΝΗΣ 21
- ΚΟΡΙΝΘΙΑΣ 27
- ΚΩ 6
- ΛΑΚΩΝΙΑΣ 25
- ΛΑΡΙΣΑΣ 32
- ΛΑΣΙΘΙΟΥ 9
- ΛΕΣΒΟΥ 10
- ΛΕΥΚΑΔΑΣ 6
- ΜΑΓΝΗΣΙΑΣ 26
- ΜΕΣΣΗΝΙΑΣ 57
- ΜΗΛΟΥ 3
- ΜΥΚΟΝΟΥ 23
- ΝΑΞΟΥ 26
- ΝΗΣΩΝ 16
- ΝΟΤΙΟΥ ΤΟΜΕΑ ΑΘΗΝΩΝ 35
- ΞΑΝΘΗΣ 14
- ΠΑΡΟΥ 16
- ΠΕΙΡΑΙΩΣ 43
- ΠΕΛΛΑΣ 11
- ΠΙΕΡΙΑΣ 8
- ΠΡΕΒΕΖΑ 14
- ΡΕΘΥΜΝΟΥ 49
- ΡΟΔΟΠΗΣ 2
- ΡΟΔΟΥ 83
- ΣΑΜΟΥ 3
- ΣΕΡΡΩΝ 19
- ΣΠΟΡΑΔΩΝ 2
- ΣΥΡΟΥ 6
- ΤΗΝΟΥ 2
- ΤΡΙΚΑΛΩΝ 4
- ΦΘΙΩΤΙΔΑΣ 7
- ΦΛΩΡΙΝΑΣ 16
- ΦΩΚΙΔΑΣ 1
- ΧΑΛΚΙΔΙΚΗΣ 32
- ΧΑΝΙΩΝ 88
- ΧΙΟΥ 4
- ΥΠΟ ΔΙΕΡΕΥΝΗΣΗ 115

Φωτιά - Επόμενη μέρα: Πώς πρέπει να γίνουν οι αναδασώσεις - Μέχρι πότε πρέπει να δράσουμε
Χρήστος Ζερεφός: Ζούμε την κλιματική κρίση - Να μη φτάσουμε στο απροχώρητο, δεν θα έχει γυρισμό
Στα χέρια των Ταλιμπάν το Αφγανιστάν: Καταλαμβάνουν την Καμπούλ - Εκκενώνεται η πρεσβεία των ΗΠΑ
«Θέμα εβδομάδων το τέλος του πολέμου»: Τα νέα μηνύματα Τραμπ - Ρούμπιο και η απάντηση για μία χερσαία εισβολή
Αποκαλύψεις για τη μητέρα του κακοποιημένου βρέφους στην Ηλεία - «Είχε εξαφανιστεί το 2024»
OnlyFans: Μετά τον θάνατο του Ραντβίνσκι τι; Το deal των 5,5 δισ. και η μεγάλη αβεβαιότητα
Όχι άλλο πόλεμο | Δύο Τύποι Από Σπίτι (Ep.19)
Live όλες οι εξελίξεις λεπτό προς λεπτό, με την υπογραφή του www.ethnos.gr
δημοφιλές τώρα: 



