Δασμοί Τραμπ: Το «λάθος» που οδήγησε σε τέσσερις φορές υψηλότερους δασμούς
«Ο τύπος στον οποίο βασίστηκε η κυβέρνηση δεν έχει καμία βάση ούτε στην οικονομική θεωρία, ούτε στο εμπορικό δίκαιο» λένε οι οικονομολόγοι🕛 χρόνος ανάγνωσης: 3 λεπτά ┋

Για σοβαρό μαθηματικό σφάλμα στον μαθηματικό τύπο που χρησιμοποίησε η κυβέρνηση του προέδρου των ΗΠΑ Ντόναλντ Τραμπ για τον υπολογισμό των «ανταποδοτικών» δασμών, κάνει λόγο δημοσίευμα του Axios.com, το οποίο σφάλμα υπερβάλλει σημαντικά τον πραγματικό αντίκτυπο -συγκεκριμένα, κατά περίπου τέσσερις φορές- σύμφωνα με οικονομολόγους του American Enterprise Institute (ΑΕΙ).
Το εν λόγω συντηρητικό think tank το οποίο ανήκει στο στρατόπεδο των Ρεπουμπλικάνων, αντί να υπολογίζει σωστά τους δασμούς, κατέληξε να τους επιβάλει πολύ υψηλότερους απ’ ό,τι χρειαζότανγια την επίτευξη των στόχων της αμερικανικής πολιτικής μεταδίδει το Axios.com.
Αν ο τύπος που χρησιμοποιήθηκε από την κυβέρνηση Τραμπ θεωρείται «σοβαρό θεμέλιο» για την εμπορική πολιτική των ΗΠΑ «τότε οι υπεύθυνοι αξιωματούχοι θα πρέπει να διασφαλίσουν τη σωστή εφαρμογή των υπολογισμών» τονίζουν μεταξύ άλλων οι οικονομολόγοι του American Enterprise Institute, μια αποκάλυψη που θα μπορούσε να ανατρέψει αρκετά τα εώς τώρα δεδομένα.
Trump tariffs based on massive error, conservative think tank says https://t.co/GYdOwZlkhA
— Axios (@axios) April 6, 2025
Πώς φτάσαμε στη αμφισβήτηση του μαθηματικού τύπου
Μετά την ανακοίνωση των δασμών την περασμένη Τετάρτη, η κυβέρνηση δημοσίευσε έναν περίπλοκο τύπο που, σύμφωνα με τις δηλώσεις της, ανέπτυξε με τη συνεργασία του Συμβουλίου Οικονομικών Συμβούλων.
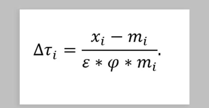
Στην ουσία, ο τύπος δεν είναι τίποτε περισσότερο από το εμπορικό έλλειμμα των ΗΠΑ με κάθε χώρα, διαιρούμενο με την αξία των αγαθών που εισάγονται από αυτή τη χώρα. Δύο ακόμη μεταβλητές της εξίσωσης αλληλοαναιρούνται και καθίστανται πρακτικά ανούσιες.
Ο τύπος που χρησιμοποιήθηκε υπολόγιζε «την ελαστικότητα των τιμών εισαγωγών ως προς τους δασμούς» δηλαδή την επίδραση των δασμών στην τιμή των εισαγόμενων προϊόντων. Ωστόσο, η κυβέρνηση Τραμπ χρησιμοποίησε μια τιμή ελαστικότητας 0,25, η οποία σύμφωνα με την οικονομική θεωρία σημαίνει ότι η επίδραση του δασμού στην τιμή εισαγωγής είναι περιορισμένη. Οι οικονομολόγοι όμως, υποστηρίζουν ότι χρησιμοποιήθηκε λάθος τιμή. Η σωστή τιμή θα ήταν 0,945, η οποία δείχνει ότι σχεδόν όλος ο δασμός επηρεάζει άμεσα την τιμή εισαγωγής.
Η ανάλυση των οικονομολόγων για τις αντιφάσεις στην εξίσωση
Οι οικονομολόγοι Corinth και Veuger, τονίζουν ότι είναι αντιφατικό να συνδυάζονται δύο διαφορετικοί τύποι ελαστικότητας στην εξίσωση, όπως έγινε από την κυβέρνηση Τραμπ. Όπως εξηγούν, οι τύποι αυτοί δεν αλληλοσυμπληρώνονται και πρέπει να χρησιμοποιούνται ξεχωριστά. Αν η κυβέρνηση Τραμπ είχε χρησιμοποιήσει τη σωστή τιμή για την ελαστικότητα, ο δασμός που θα επιβαλλόταν σε χώρες όπως το Βιετνάμ θα ήταν 12,2% και όχι 46%, όπως τελικά εφαρμόστηκε.
Η Υπηρεσία Εμπορικού Αντιπροσώπου των ΗΠΑ (USTR) υποστήριξε τους υπολογισμούς της με έρευνες του καθηγητή Alberto Cavallo από το Harvard Business School. Ωστόσο, ο ίδιος ο Cavallo δήλωσε ότι δεν είναι σαφές αν τα ευρήματα του χρησιμοποιήθηκαν σωστά. Παρά ταύτα, η USTR συνεχίζει να στηρίζει την προσέγγισή της.
Συνεπώς, οι Corinth και Veuger καταλήγουν ότι ο τύπος στον οποίο βασίστηκε η κυβέρνηση δεν έχει καμία βάση ούτε στην οικονομική θεωρία, ούτε στο εμπορικό δίκαιο». «Αλλά αν πρόκειται να υποκριθούμε ότι αποτελεί ένα σοβαρό θεμέλιο για την εμπορική πολιτική των ΗΠΑ, τότε τουλάχιστον πρέπει να περιμένουμε από τους αρμόδιους αξιωματούχους του Λευκού Οίκου να κάνουν σωστά τους υπολογισμούς τους» καταλήγουν οι οικονομολόγοι.
Ο Λευκός Οίκος δεν απάντησε άμεσα στο αίτημα του Axios.com για σχολιασμό.
Ο αντίκτυπος της ομιλίας Τσίπρα σε ΝΔ και ΠΑΣΟΚ, η απάντηση Φάμελλου για τα περί ιδιοτέλειας και ο υπερ-γουρλής Μαγειρίας που πήρε δώρο μια Ferrari
Από το Καστέλι μέχρι τον ΒΟΑΚ και το μετρό: Αποζημιώσεις εκατοντάδων εκατ. ευρώ απειλούν μέχρι και να διπλασιάσουν το κόστος των μεγάλων έργων
Κακοκαιρία Byron: «Βροχή» τα 112 όλη τη νύχτα - Πώς θα κινηθούν οι καταιγίδες τις επόμενες ώρες
Αμετακίνητοι οι αγρότες στα μπλόκα - Ποιες κινήσεις εξετάζει η κυβέρνηση
Live όλες οι εξελίξεις λεπτό προς λεπτό, με την υπογραφή του www.ethnos.gr




